2025年上半年,根据中指研究院开展的“中国物业服务价格指数系统”和“中国物业服务星级评价标准体系”研究,得出以下主要结论:
指数方面,二十城物业服务价格综合指数为1074.47,环比下跌0.08%,同比下跌0.11%。整体来看,一线城市物业服务价格综合指数变化趋稳,其中北京和上海物业服务价格综合指数环比保持不变,广州和深圳环比微幅上涨;部分二三线城市物业服务价格综合指数不同程度下跌,其中武汉、南昌、重庆、常州跌幅较为明显。
价格方面,二十城物业服务均价为2.72元/平方米/月,与2024年末持平。具体来看,物业服务价格上涨城市主要分布于长三角和珠三角两个经济发达区域,分别为无锡、杭州、深圳、苏州、广州;物业服务价格保持稳定的城市为北京、上海、天津、成都、长沙、昆明、合肥;而南京、青岛、济南、常州、宁波、重庆、南昌、武汉的物业服务价格则出现不同程度下跌。
样本方面,二十城物业服务水平以高星级(四星级和五星级)项目为主,其中四星级项目占比46.99%,五星级项目占比13.27%,且五星级项目数量占比持续提升。从区域分布看,长三角、珠三角地区和西南地区的高星级项目数量占比较高,均超60%,分别为61.55%、66.21%和67.68%;从具体城市看,北京、上海、广州、深圳、南京、武汉、天津、重庆、成都、宁波、昆明十一个城市的高星级样本占比较高,均超过60%,领先于其他城市。此外,从星级项目评价体系来看,软件服务得分保持稳定,而硬件方面由于部分项目设备老化,评分受到影响,因此整体来看,软件服务的平均得分略高于硬件设施,分别为83.06分和82.56分。
本报告为节选,获取报告完整版,请点击此处填表留资

本次研究基于“中国物业服务星级评价标准体系”,对北京、上海等二十个代表城市2025年上半年的项目物业服务水平进行打分、评级,并计算其物业服务价格指数,得到研究结论如下:
1.指数:二十城综合指数环比同比均下跌,一线城市趋稳,二三线部分城市下跌
表:2025年6月二十城物业服务价格指数(按环比降序排列)

数据来源:中指数据CREIS
物业研究:www.cih-index.com
图:2025年6月二十城物业服务价格指数

数据来源:中指数据CREIS
物业研究:www.cih-index.com
2025年6月,二十城物业服务价格综合指数为1074.47,同比下跌0.11%,环比下跌0.08%。同比来看,二十城中,武汉、南昌、常州等7个城市物业服务价格指数下跌,下跌城市数量较去年同期增加4个;长沙、成都、昆明等5个城市物业服务价格指数与去年同期持平;杭州、深圳、无锡等8个城市物业服务价格指数同比均上涨。具体来看,武汉、南昌同比跌幅最大,分别下跌1.67%和1.59%;常州、重庆和青岛3个城市同比跌幅在0.2%-0.4%之间;南京和济南同比分别下跌0.17%、0.12%。物业服务价格指数同比上涨城市中,杭州涨幅较大,为0.38%,深圳和无锡同比分别上涨0.33%、0.31%,苏州、宁波同比涨幅在0.1%(含)-0.2%之间;北京、广州和合肥同比涨幅较小,均在0.1%以内。
与2024年12月相比,二十城中,南昌、武汉、常州等8个城市物业服务价格指数下跌,下跌城市数量较上期增加4个,分别为济南、南京、宁波、常州;北京、长沙、成都等6个城市环比持平;杭州、无锡、深圳等6个城市环比则均上涨。物业服务价格指数环比下跌城市中,南昌和武汉环比跌幅最大,分别下跌1.20%、0.97%;常州环比下跌0.31%;重庆、南京、济南和青岛环比跌幅均在0.1%(含)-0.2%之间;宁波环比跌幅较小,为0.08%。物业服务价格指数环比上涨城市中,杭州、无锡环比分别上涨0.31%和0.24%;深圳、苏州、广州和合肥环比涨幅均在0.1%左右,其中合肥涨幅最小,为0.02%。
分区域来看,近半年来,珠三角地区和长三角地区物业服务价格指数环比均上涨,涨幅为0.06%、0.02%;中部地区、西南地区和环渤海地区物业服务价格指数环比均下跌,跌幅为0.56%、0.08%和0.03%。中部地区中,南昌、武汉环比分别下跌1.20%和0.97%,跌幅较大。
表:2025年6月不同星级物业服务价格指数(按三星环比指数值降序排列)

图:2025年6月不同星级物业服务价格指数

数据来源:中指数据CREIS
物业研究:www.cih-index.com
从不同星级物业服务价格指数来看,二十城三星级物业服务价格指数同比持平,四、五星级物业服务价格指数同比下跌。2025年6月,二十城三星级物业服务价格指数环比下跌0.01%,同比持平;四星级物业服务价格指数环比下跌0.13%,同比下跌0.14%;五星级物业服务价格指数环比下跌0.22%,同比下跌0.46%。同比来看,三星级物业服务价格指数中,杭州、深圳、无锡等7个城市较去年同期上涨,其中杭州涨幅较大,为0.99%;济南、长沙和成都等7个城市同比持平;南昌、常州、武汉等6个城市较去年同期下跌,其中南昌跌幅最大,为1.48%。四星级物业服务价格指数中,南昌、武汉、济南等8个城市较去年同期下跌,其中南昌、武汉跌幅较大,均超1.0%;长沙、成都、昆明等7个城市同比持平;无锡、宁波、苏州、北京和深圳共5个城市较去年同期上涨,其中无锡涨幅较大,为0.32%。五星级物业服务价格指数中,武汉、常州共2个城市较去年同期下跌,跌幅分别为9.63%、0.08%;济南、重庆和南京等13个城市同比持平;深圳和广州同比均上涨,涨幅分别为0.86%、0.28%。
2.价格:二十城均价2.72元/平方米/月,涨价城市集中分布于长三角和珠三角区域
表:2025年6月城市物业服务均价(单位:元/平方米/月)

*注:本报告南京物业服务价格不含公摊费,下同。
图:2025年6月二十城物业服务均价

数据来源:中指数据CREIS
物业研究:www.cih-index.com
2025年6月,二十城物业服务均价为2.72元/平方米/月。一线城市物业服务价格水平居前列,其中深圳均价最高,为3.97元/平方米/月;北京、上海紧随其后,分别为3.93元/平方米/月和3.51元/平方米/月;杭州、广州、天津、宁波、武汉均价分别为2.99元/平方米/月、2.87元/平方米/月、2.78元/平方米/月、2.66元/平方米/月、2.64元/平方米/月;成都、苏州等6个城市均价在2.0-2.5元/平方米/月之间;南京、济南等6个城市均价在1.0-2.0元/平方米/月之间,其中常州物业服务均价水平仍相对较低,为1.26元/平方米/月。
表:2025年6月不同星级物业服务收费(单位:元/平方米/月)(按三星收费降序排列)

图:2025年6月不同星级物业服务收费

数据来源:中指数据CREIS
物业研究:www.cih-index.com
从不同星级物业服务收费来看,今年上半年,二十城三星级物业服务收费同比上涨,高星级同比均下跌。2025年6月,二十城整体三星级物业服务收费为2.03元/平方米/月,同比上涨0.04%,其中深圳收费最高,为3.47元/平方米/月;北京、广州等8个城市收费介于2.0-3.0元/平方米/月之间;长沙、无锡等10个城市介于1.0-2.0元/平方米/月之间;常州收费为0.77元/平方米/月。四星级物业服务收费为2.87元/平方米/月,同比下跌0.19%,其中深圳、北京、上海、杭州、青岛、宁波收费相对较高,均在3.0元/平方米/月以上;无锡、广州等10个城市介于2.0-3.0元/平方米/月之间;南京、南昌、昆明、常州均在2.0元/平方米/月以下,其中常州最低,为1.22元/平方米/月。五星级物业服务收费为3.98元/平方米/月,同比下跌0.62%,其中深圳和上海收费较高,均超5.0元/平方米/月;北京、杭州和广州收费亦在4.0-5.0元/平方米/月之间;武汉、成都、天津、长沙、无锡、苏州、重庆以及昆明收费在3.0-4.0元/平方米/月之间;济南、合肥、南京、常州收费均低于3.0元/平方米/月,其中常州收费最低,为2.22元/平方米/月。
3.样本:软件服务得分趋稳,硬件老化评分受挫,新增样本五星级项目占比持续提升
中指研究院严格按照样本选择规范要求,于2025年1月至6月对二十个城市进行了物业服务星级评价研究工作,样本数量为7882个,其中达到物业服务价格指数编制要求的合格样本数量为4356个,占比为55.27%,本期物业服务价格指数评价体系覆盖范围广泛,样本选择标准严格谨慎,研究成果持续反映了行业发展方向。
表:2025年上半年中国物业服务星级评价样本统计

数据来源:中指数据CREIS
物业研究:www.cih-index.com
1)二十城样本各星级项目中,高星级项目占比60.26%
整体来看,二十城物业服务水平以四星为主,占比46.99%,四星级和五星级项目占比分别为46.99%、13.27%;从城市分级来看,一线城市的高星级项目占比为71.57%,同比上涨3.31%;一线城市中四星级项目占比为49.16%。二线城市四星级项目占比为46.01%;五星级项目占比为9.12%,三星级项目占比44.87%。
图:二十个城市物业服务星级评价情况

数据来源:中指数据CREIS
物业研究:www.cih-index.com
各层级城市的四星级项目占比均已超越三星级项目,且四星级项目比重逐年递增,近年来物企通过硬件迭代与软件升级双轮驱动实现服务进阶:硬件层面持续升级楼宇智能化系统、给排水设备等设施,并推进园区景观改造与公共区域翻新,以保障物理环境的现代化运作;软件服务则聚焦基础服务标准化与数字化,通过智能巡检等工具提升秩序维护、保洁绿化等服务效率,同时拓展社区电商、房屋托管等增值服务满足业主多元需求,辅以服务流程线上化等数字化手段优化体验。
图:区域物业服务星级评价情况

数据来源:中指数据CREIS
物业研究:www.cih-index.com
从区域分布来看,长三角、珠三角地区和西南地区四星级与五星级样本之和占比超60%,分别为61.55%、66.21%和67.68%,占比领先于环渤海地区和中部地区。环渤海地区和中部地区四星级样本占比分别达29.38%和44.06%,中部地区四星级样本较去年同比上升,长三角地区和环渤海地区经济更为发达,具备较好的物业服务发展基础,服务水平居全国前列,环渤海地区的五星级样本占比最高达25.18%;中部地区四星级与五星级样本之和占比相对略低,不足50%。
图:二十个城市综合物业星级评价

数据来源:中指数据CREIS
物业研究:www.cih-index.com
从城市方面看,北京、上海、广州、深圳、南京、武汉、天津、重庆、成都、宁波、昆明十一个城市的高星级样本占比均超过60%,领先于其他城市。其中北京、上海、广州、深圳、南京、重庆、天津、昆明和宁波九座城市高星级样本占比超过65%。北京的五星级样本占比为53.50%,仍居于所有城市首位,广州、南京、天津和常州的五星级项目占比也均超过15%,分别为16.00%、20.00%、25.42%和16.50%。
2)物业服务整体发展均衡,软件服务得分略高于硬件设施得分
图:二十个城市软硬件得分情况

数据来源:中指数据CREIS
物业研究:www.cih-index.com
二十城物业服务软件服务与硬件设施呈现协同提升、均衡发展特征。2025年上半年,二十城软件服务平均得分83.06分,硬件设施平均得分82.56分,软件服务得分较硬件设施高0.5分,且近年来软件服务与硬件设施得分均逐年提升,分值差距未显著拉大,服务体系均衡性持续保持。从城市得分看,北京、上海、广州、深圳、南京、天津、成都的软硬件得分均高于全国平均水平;其余城市中,宁波软硬件得分差值最大,反映其硬件设施存在较大提升空间。
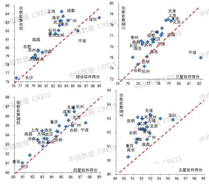
图:二十个城市不同星级物业软硬件得分分布图

数据来源:中指数据CREIS
物业研究:www.cih-index.com
从二十城软件服务与硬件设施得分差异来看,多数城市软件服务与硬件设施发展较为均衡,仅深圳、宁波等少数城市存在较明显得分差。深圳近年来持续提升服务水平,软件服务得分较硬件设施得分高出5.25分,为二十城中软硬件得分差绝对值最大的城市;宁波以3.57分的差值位居第二;上海硬件设施得分高于软件服务得分1.18分,其余城市得分差绝对值均小于1分,软硬件匹配程度较高。分星级来看,三星级与四星级项目软件服务得分均值分别高于硬件设施得分均值0.82分和0.23分,五星级项目软硬件得分均值基本持平。其中,天津与苏州各星级项目硬件设施得分均高于软件服务得分,深圳不同星级项目的软硬件得分均值差值均超过2.5分。

1.上海·陆家嘴滨江苑——唯一不变的是万变的服务
陆家嘴滨江苑,坐落于繁华的陆家嘴黄金地段,沿江而建,尽享一线江景美景,作为高端豪华住宅的典范,独树一帜。陆家嘴滨江苑由中船置业有限公司精心打造,并由中信泰富(上海)物业管理有限公司提供专业、高端的物业管理服务。项目主要面向社会名流、企业高管、高知人士和行业领军者,尤其是注重生活品质和品味的中青年群体。小区物业管理中心致力于为业户营造高品味的居住环境,通过现代管理科学和先进技术的运用,提供专业化、酒店式与豪宅式管家服务,倡导并实践新型生活方式。其管理无盲点、服务无挑剔、业户无怨言的目标和质量方针“以人为本、管理科学、服务真诚、业户满意”是小区物业管理中心的不懈追求。

1)项目基本情况

2)项目服务亮点
服务亮点一:快速响应,服务周到细致
当谈及服务,不仅仅追求快速响应,而是在快速响应基础上做加法将周到细致做到极致。陆家嘴滨江苑的管家服务团队,就如同专业的酒店服务人员一般,对业主的每一个需求都能做出精准的判断与处理。他们遵循着完善的管理流程,每一次的响应都高效而准确,无盲点服务,让每一位业主都能感受到最真诚与专业的呵护。
服务亮点二:精准服务,满足个性化需求
服务不仅要迅速,更要精准满足每一位业主的个性化需求。在陆家嘴滨江苑,“品质”和“细节”都受到了极大的重视。从小区的绿化到日常的生活细节,每一个环节都经过精心的规划与设计。高绿化率,打造出一片绿意盎然的居住环境;快递收发室的服务,解决了业主们收发快递和外卖的问题;宠物寄养、车辆清洁维护、绿植养护等免费增值服务更是为生活增添了多样化的的便利与温馨。

服务亮点三:和谐邻里,营造温暖社区
真正让业主拥有“家”的氛围,不仅仅需要园区设施、环境等物质的丰富,更是情感的交流与融合。定期多元的社区文化艺术活动,不仅丰富了业主的业余生活,更为邻里之间搭建了一座情感的桥梁。在这里,每一份笑声、每一次的互动,都在诉说着和谐与温暖。传统节日庆典、民俗活动,让业主足不出户感受来自中国传统节日的魅力以及浓厚的节日氛围。

2. 宁波·玉堰珑印府——隐形奢侈品
伟星物业携玉堰珑印府首次进驻宁波,与国际金钥匙联盟联袂,试图以“行业标准制定者”之列,向物业服务的天花板领域发起冲击。从鄞州公园板块的孤品地块到“隐形奢侈品”般的服务体验,伟星以硬核产品力与服务力,重新锚定宁波塔尖人居的价值新序。

1)项目基本情况

2)项目服务亮点
服务亮点一:全周期关怀计划,节日与日常皆有温度
伟星物业以时间为轴,匠心定制全年客户关怀计划,让每一个节日、每一场活动都成为业主的专属记忆。从新春祝福到中秋团圆,从生日惊喜到邻里聚会,物业的暖心陪伴贯穿四季,点缀生活的仪式感,让业主时刻感受到家的温馨与归属。

服务亮点二:社区文化焕新,兴趣与热爱共振
伟星物业以“IP品牌活动+兴趣社群+平台自治”的三维体系,重塑社区文化生态。状元文化节、暑期嘉年华、年俗文化节等品牌活动,承载邻里欢聚的热烈氛围。各类兴趣社群激发业主的热爱共鸣,而平台自治则赋予社区自我生长的活力。伟星物业以文化为媒,让社区成为情感交汇与生活惊喜的舞台。

服务亮点三:智慧生活的先锋布局
玉堰珑印府深度融入智能科技,携手领先智能系统,从土建之初便规划全周期智慧生态。新风、中央空调等核心设备实现一键联动,业主可通过智能面板切换晨起、归家、睡眠等场景,声光环境随心而变。窗户隔音设计采用三玻两腔窗,搭配精细化施工工艺,打造安静舒适的居住空间。
3.深业上城北区公寓
深业运营基于对住宅物业40多年的管理实践,致力于打造多元的“深享居”住宅物业服务产品体系。其中,针对高端住宅物业,推出高端物业服务品牌“尚上生活",阐释了高端物业服务的精神实质和文化内涵。传承国际“金钥匙”联盟服务内核,通过实施“尚·管家”服务模式,让业主享受“尊贵、自在、绿色、时尚"的高端服务体验。

1)项目基本情况

2)项目服务亮点
服务亮点一:尊贵体验全程相伴
携手“金钥匙联盟”营造礼宾式服务,精琢视觉、嗅觉、触觉、味觉、听觉五感体验并配备7ⅹ24小时前台礼宾司提供家居服务、生活服务、双语及贵宾迎送等360°全维服务,同时开设永不换号的专属手机管家热线,提供7ⅹ24小时专业化的专属管家,使业主享受到全方位的尊贵服务体验。

服务亮点二:自在安闲生活无扰
确保每一个管理区域的尽善尽美,深业上城采用“航母式动线”管理模式将人流、车流、物流统一管理设计并为业主提供快递/外卖代取、访客引领等服务;所有设施设备原厂保养,预防为主养修结合,夜间0干扰维护确保设备全生命周期运转良好,让生活历久弥新。

服务亮点三:绿色家园绿色生活
为满足塔尖业主对健康更高层次的需求,深业上城以绿化物业3星标准设计为支撑,拥有能源管理体系以及环境管理体系认证并提供户内消杀服务、垃圾上门收取服务、遛宠专区高级园艺师绿植养护、公区石材养护等绿色服务,扎根一草一木,度量一点一滴倾力打造生态、健康、环保的人居环境。
服务亮点四:时尚生活私人定制
当居所开始承载一个阶层的生活方式物业服务也不再止步对景观、建筑、生活的品质追求四季六礼、专属礼品、会所服务将五星级酒店定制引入日常生活,圆满人生重要时刻。开展绿跑活动、高尔夫友谊赛等,丰富的多元主题文化沙龙,匹配居者高雅品位为尊贵业主营造精神同频的国际化艺术生活。
4.合景·臻颐府——家境渐臻·打造颐雅人居
合景悠活·宁骏物业携臻颐府,都市生活圈,毗邻高德汇优托邦/万科广场等)奥林匹克体育中心,臻颐府位于天河CBD金融城中轴北,拥有畔山资源的奥体板块,北向世界大观双湖,南向望3300亩畔山景观,背山面湖,森林环绕,富含珠江新城44倍的负氧离子。向物业服务的天花板领域发起冲击。“家境渐臻·打造颐雅人居”服务理念为项目而生,从圈层到归家,悠享品质人生。

1)项目基本情况

2)项目服务亮点
服务亮点一:全周期无忧保障,超越期待的服务承诺
合景悠活·宁骏物业以时间为轴,匠心服务每一位业主,让每一位业主居住放心、安心。从收楼后的业主家装期间物品签收及安装跟进,到入住后的绿植养护和宠物照料工作。物业的暖心陪伴贯穿四季,点缀生活的仪式感,让业主时刻感受到家的温馨与归属。
服务亮点二:东御管家学院社区文化焕新,兴趣与热爱共振
合景悠活·宁骏物业以“IP品牌活动+兴趣社群+平台自治”的三维体系,重塑社区文化生态。妇女节、母亲节、父亲节等活动,承载邻里欢聚的热烈氛围。各类兴趣社群激发业主的热爱共鸣,而平台自治则赋予社区自我生长的活力。合景悠活·宁骏物业以文化为媒,让社区成为情感交汇与生活惊喜的舞台。

服务亮点三:智慧生活的先锋布局
合景·臻颐府深度融入智能科技,携手领先智能系统,从土建之初便规划全周期智慧生态。新风、中央空调等核心设备实现一键联动,业主可通过智能面板切换明亮、会客等场景,不同光环境随心而变。窗户隔音设计采用三玻两腔窗,搭配精细化施工工艺,打造安静舒适的居住空间。


中指研究院对本次物业星级评价中表现突出的星级物业服务项目及示范基地进行深入分析,星级物业服务项目软、硬件服务发展均衡,示范基地特色鲜明:
中大·君悦金沙采用信托制物业管理模式,提升业主权益保障与社区透明度。通过信托制模式,业主可随时监督账目,参与决策,有效避免了传统包干制下的利益冲突。项目环境维护、设施升级等因资金高效利用展现信托制优势,为成都住宅物业管理创新提供了优质范本。

2025年上半年,物业管理行业在宏观经济承压与房地产市场深度调整背景下,仍保持稳健发展。最新监测数据显示,二十城物业服务价格整体趋稳,但城市间及不同星级项目间的差异显著。当前,尽管行业整体服务水平持续提升,但区域发展不平衡问题仍然存在,尤其是部分二三线城市项目服务品质与业主期望间存在较大差距。
近年来,部分地方政府出台物业服务收费政府指导价政策,对市场运行产生了显著影响,倒逼物业企业加速服务提质与成本重构。中指研究院通过系统化、持续性地追踪国内主要城市项目物业服务水平及价格动态,引导行业加快实现服务价格与质量的动态平衡,促进行业健康发展。与此同时,中指研究院着力深化物业服务星级评价体系的应用,通过系统梳理优秀项目的先进服务经验与标准化实践,深度发掘和推广标杆项目的示范价值,以期有效引领行业整体服务质量的提升进程。
——来源于中指物业研究
如有版权问题,请联系删除!